User account menu
Log in
English
Language
Apply
Home
Topics
Countries
Resources
Publications
Data
Tools
Digital Health Library
Virtual Health Library
Virtual Campus for Public Health
PAHO/WHO Collaborating Centres
Regional Revolving Funds
Initiatives
Alliance for Primary Health Care in the Americas
Elimination Initiative
Zero Preventable Maternal Deaths
Better Care for NCDs Initiative
CureAll Americas
HEARTS in the Americas
Sustainable Health Agenda for the Americas 2018-2030
Alerts and Epidemiologic Updates
Documents
Mandates
Technical and Scientific Products
One Health
News
Resources for Journalists
News Releases
Country News
Technical Unit News
Events
Stories
Communication materials
Brochures
Infographics
Champions of Health
Public Health Heroes
Collaborators
Campaigns
Past campaigns
PAHO Newsletters
PAHO Podcast
PAHO Calendars
About
About PAHO/WHO
History of PAHO
PAHO's Former Directors
Organizational Chart
Statement of Assessed Contributions due from Member States
What We Do
Communicable Disease Prevention, Control, and Elimination
Comprehensive Immunization
Evidence and Intelligence for Action in Health
Innovation, Access to Medicines and Health Technologies
Social and Environmental Determinants for Health Equity
Health Emergencies
Health Systems and Services
Noncommunicable Diseases and Mental Health
Governance
Pan American Sanitary Conference
Directing Council
Executive Committee
Subcommittee on Program, Budget and Administration
Careers at PAHO
Internships
Partnerships
Investigations Office
Office of Internal Audit
Director's Page
Speeches
You must have JavaScript enabled to use this form.
Search
Search
Home
Documents
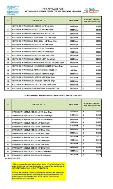
PAHO Revolving Fund Syringes Prices for 2022
PAHO Revolving Fund Syringes Prices for 2022
Download
Revolving Fund Prices
Immunization
Indexes
Family, Health Promotion and Life Course